📌 라우팅
사용자가 요청한 URL에 따라 해당 URL에 맞는 페이지를 보여주는 것이다.
📌 SPA (Single Page Application)
서버로부터 각각의 페이지를 요청하는 것과 다르게 한 번에 덩어리를 받아오고 내부에서 url에 맞춰 보여줄 것만 보여주는 것이다. 즉, 새로운 페이지를 로드하지 않고 하나의 페이지 안에서 필요한 데이터만 가져오는 형태를 가진다.

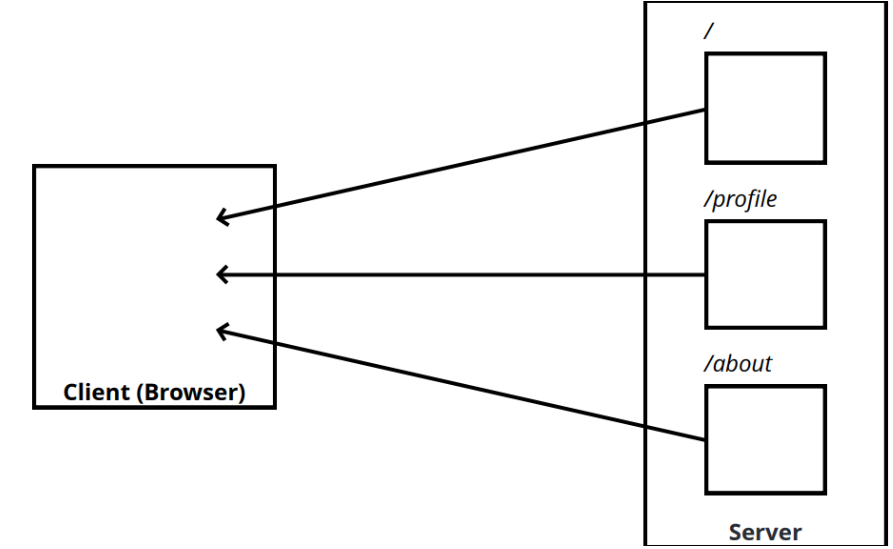
SPA 라우팅 과정
1. 브라우저에서 최초 ' / ' 경로로 요청을 하면
2. React Web App을 내려준다.
3. 내려받은 React App에서 ' / ' 경로에 맞는 컴포넌트를 보여준다.
4. React App에서 다른 페이지로 이동하는 동작을 수행하면
5. 새로운 경로에 맞는 컴포넌트를 보여준다.
📌 react-router-dom

- cra(create-react-app)에 기본 내장된 패키지가 아니다.
- react-router-dom은 facebook의 공식 패키지는 아니다.
- 가장 대표적인 라우팅 패키지다.
설치
npm i react-router-dom
특정 경로에서 보여줄 컴포넌트를 준비한다.

' / ' Home 컴포넌트
export default function Home() {
return <div>Home 페이지입니다.</div>;
}
' /profile' Profile 컴포넌트
export default function Profile() {
return <div>Profile 페이지입니다.</div>;
}
'/about' About 컴포넌트
export default function About() {
return <div>About 페이지입니다.</div>;
}
App.js
import { BrowserRouter, Route, Routes } from "react-router-dom";
import Home from "./pages/Home";
import Profile from "./pages/Profile";
import About from "./pages/About";
function App() {
return (
<BrowserRouter>
<Routes>
<Route path="/" element={<Home />} />
<Route path="/profile" element={<Profile />} />
<Route path="/about" element={<About />} />
</Routes>
</BrowserRouter>
);
}
export default App;
- Route 컴포넌트에 경로(path)와 컴포넌트(component)를 설정하여 나열해준다.
- BrowserRouter로 Route들을 감싸준다.
- 브라우저에서 요청한 경로에 Route의 path가 들어있으면 해당 component를 보여준다.
Switch 대신 Routes
- Switch의 네이밍이 Routes로 변경됐다.
- exact 는 더 이상 사용하지 않고 여러 라우팅을 매칭 하고 싶은 경우 URL 뒤에 * 을 사용한다.
(exact가 기본으로 되어있다.)
- Route는 Routes의 직속 자식이어야 한다.
- Route에 children이나 component가 사라지고, 대신에 element 사용한다.
import { BrowserRouter, Route, Routes } from "react-router-dom";
import Home from "./pages/Home";
import Profile from "./pages/Profile";
import About from "./pages/About";
import Links from "./components/Links";
function App() {
return (
<BrowserRouter>
<Links />
<Routes>
<Route path="/" element={<Home />} />
<Route path="/profile" element={<Profile />} />
<Route path="/profile/:id" element={<Profile />} />
<Route path="/about" element={<About />} />
</Routes>
</BrowserRouter>
);
}
export default App;
useParams()
userParams Hook을 이용하여 :id 값을 받아온다.
import { useParams } from "react-router-dom";
export default function Profile() {
const { id } = useParams();
console.log(id, typeof id); // string
return (
<div>
<h2>Profile 페이지입니다.</h2>
{id && <p>id는 {id} 입니다.</p>}
</div>
);
}
useLocation()
useLocation Hook을 이용하여 queryString 값을 받아온다.
import { useLocation } from "react-router-dom";
export default function About() {
const pathname = useLocation();
console.log(pathname.search);
return <div>About 페이지입니다.</div>;
}
useHistory() 대신 useNavigate()
Link태그와 유사한 작업을 할 수 있게 도와주는 Hook이다.
아래와 같이 useHistory를 사용하면, URL의 끝에 /home을 추가함으로써 페이지 이동이 가능했지만
v6 버전은 useNavigate Hook을 이용하여 페이지를 이동한다.
useHistory의 history는 객체였지만 useNavigate의 navigate는 함수다.
import { useNavigate } from "react-router-dom";
function App() {
let navigate = useNavigate();
function handleClick() {
navigate("/home");
}
return (
<div>
<button onClick={handleClick}>go home</button>
</div>
);
}
NavLink
NavLink를 import하여 a태그처럼 링크 설정을 해준다.
import { NavLink } from "react-router-dom";
export default function NavLinks() {
return (
<ul>
<li>
<NavLink
to="/"
style={({ isActive }) => ({ color: isActive ? "green" : "blue" })}
>
Home
</NavLink>
</li>
<li>
<NavLink
to="/profile"
style={({ isActive }) => ({ color: isActive ? "green" : "blue" })}
>
Profile
</NavLink>
</li>
<li>
<NavLink
to="/profile/1"
style={({ isActive }) => ({ color: isActive ? "green" : "blue" })}
>
Profile/1
</NavLink>
</li>
<li>
<NavLink
to="/about"
style={({ isActive }) => ({ color: isActive ? "green" : "blue" })}
>
About
</NavLink>
</li>
<li>
<NavLink
to="/about?name=mark/*"
style={({ isActive }) => ({ color: isActive ? "green" : "blue" })}
>
About?name=mark
</NavLink>
</li>
</ul>
);
}
Links 컴포넌트를 import하여 사용해준다.
import { BrowserRouter, Route, Routes } from "react-router-dom";
import Home from "./pages/Home";
import Profile from "./pages/Profile";
import About from "./pages/About";
import Links from "./components/Links";
import NavLinks from "./components/NavLinks";
function App() {
return (
<BrowserRouter>
<Links />
<NavLinks />
<Routes>
<Route path="/" element={<Home />} />
<Route path="/profile" element={<Profile />} />
<Route path="/profile/:id" element={<Profile />} />
<Route path="/about" element={<About />} />
</Routes>
</BrowserRouter>
);
}
export default App;
Upgrading from v5 v6.3.0
Upgrading from v5 Backwards Compatibility Package We are actively working on a backwards compatibility layer that implements the v5 API on top of the v6 implementation. This will make upgrading as smooth as possible. You'll be able to upgrade to v6 with mi
reactrouter.com
'🍞 FrontEnd > React' 카테고리의 다른 글
| [React] HOC와 Controlled, Uncontrolled (0) | 2022.09.01 |
|---|---|
| [React] Styled Component (0) | 2022.09.01 |
| [React] Component Lifecycle (v16.3) (0) | 2022.09.01 |
| [React] Component Lifecycle (v16.3 이전) (0) | 2022.09.01 |
| [React] Event Handling (0) | 2022.09.01 |
